
首先感谢您选择阿迪轴承!
我们一直坚持,有诚信的人,才有生意可做,
自6月份以来,由于原材料价格持续上涨,
及轴承型号数量大小等因素引起的运费不同的情况,
为避免不必要的纠纷,在您拍下产品之前,
请新老客户事先联系旺旺客服或来电咨询
24小时等候您的光临
微型轴承是指公制系列,外径小于9mm; 英制系列,外径小于9.525mm的各类轴承!主要材质有碳钢、轴承钢、不锈钢、塑料、陶瓷等,其中内径最小可以做到0.6mm,一般内径为1mm的较多。目前广泛用于各类微型电机、健身器材、电讯设备、仪器仪表、计算机、汽车电机,精密仪器,机械设备,家用电器,医疗器械,渔具,遥控玩具等领域。
微型轴承*特性
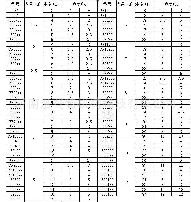
在超小孔径的微型轴承中,微型深沟球轴承的类型有公制的68系列、69系列、60系列等,英制R系列共6种,在此基础上,还可分为带ZZ钢板防尘盖轴承系列、带RS橡胶密封圈微型轴承系列、特富龙轴承密封圈系列,带法兰挡边系列等等。
微型轴承*技术参数
1.密封形式: 开放式, Z, ZZ, RS, 2RS, 2RZ
2.精度等级: ABEC-1, ABEC-3, ABEC-5, ABEC-7
3.振动等级: V1, V2, V3, V4
4.噪音等级:Z1,Z2,Z3,Z4
5.内部清除代码: C0, C2, C3, C4, C5
6.轴承材料: 轴承钢(9Cr18), 不锈钢(AISI440C, AISI304, AISI316), 陶瓷
7.保持器: 不锈钢、PTFE 、尼龙
8.轴承套圈和钢球硬度: 59 - 63HRC
微型轴承*用途
微型轴承适用于各类工业设备、小型回转电机等高转速低噪音的领域,如:办公器械,微型电机,仪表仪器,激光雕刻,小型钟表,软驱动器,压力转子,齿科牙钻,硬盘马达,步进电机,录像机磁鼓,玩具模型,计算机散热风扇、点钞机、传真机等等相关领域。
微型轴承*影响轴承摩擦力矩的因素
(1)轴承的结构形式
对于不同的结构特点,摩擦力矩相差很大。如一般单列向心带保持器的轴承,力矩较小,而无保持器满球轴承 由于球于球相对摩擦,轴承力矩明显增大。
(2)轴承的尺寸和球径大小
摩擦力矩与轴承外形尺寸成正比,也和球径成正比,因为在同样球与滚动摩擦情况下,球径越大,力臂越大, 则阻力矩也越大。
(3)轴承的球径和球数
球数增加使球上受力减小,滚动力矩也减小,但同时由于球数增加、球与保持器之间滑动摩擦增加,因此,滑动摩擦力矩随球数而增大。在同样负荷下,球径增大,轴承内部接触变形面积较少,可能产生的残余变形也减少,从而使滚动摩擦也减少。
(4)沟曲率半径和轴承游隙(或接触角)增大内外套圈沟曲率半径,使套圈与钢球的接触面积减小,则轴承滚动摩擦力矩变小,实践经验表明,当沟曲率半径为球径0.57倍时,所得力矩最小;在纯径向负荷下,径向游隙越小,摩擦力矩越大,经验表明,接触角在15。时力矩值最小。
(5)保持架结构型式 浪型和冠形保持架能达到较小力矩的要求,但由于冠形保持架装配时容易擦伤球,装配变形难于控制,球与内 圈双重引导,故力矩分散性比浪型保持架大。
(6)加j二工艺套圈沟道和钢球的粗糙度、圆度、波纹度等几何形状误差对力矩大小的影响很大。摩擦力矩随表面粗糙度的降低而大大增加。轴承旋转时的端面跳动、径向跳动、沟侧摆等能瞬间使摩擦系数产生变化,使摩擦力矩值产生相应的波动。
(71润滑剂润滑剂的种类和用量对摩擦力矩的影响较大。油润滑与脂润滑相比,因粘度阻力不同,轴承的摩擦力矩可相差几十倍。通常,润滑剂在低温时的粘度较大,故低温期的起动摩擦力矩要大一些。
(8)负荷和转速对摩擦力矩有要求的轴承通常用于有负荷的场合,径向负荷越大平均摩擦力矩也越大。轴承的转速越高,则摩擦力矩也越大